Contoh Soal Menghitung Indeks Harga Konsumen : Rumus Indeks Harga Konsumen Beserta Contoh Soal : Sbh2002 yang digunakan dalam penghitungan indeks harga konsumen.

Sbh2002 yang digunakan dalam penghitungan indeks harga konsumen. Bagaimana cara atau metode perhitungan indeks harga? Misalnya saja ketika perusahaan ingin mengetahui . Indeks harga konsumen (ihk) adalah angka yang menggambarkan perbandingan perubahan harga barang dan . Cara pengisian daftar hk 4, hk 5 dan hk 6a, b, c.

Menggunakan indeks harga konsumen (ihk) atau consumer price index. Macam Macam Metode Penghitungan Indeks Harga Ekonomi Kelas 11
Macam Macam Metode Penghitungan Indeks Harga Ekonomi Kelas 11 from www.ruangguru.com
Misalnya saja ketika perusahaan ingin mengetahui . Indeks harga konsumen (ihk) merupakan indeks harga yang umum digunakan. Contoh soal tahun pendapatan nominal ihk pendapatan rill 2004 532.568 254 . Indeks harga konsumen (ihk) adalah indeks yang menghitung. Menghitung kuantitas, yaitu dengan cara mengganti harga p pada setiap rumus indeks harga dengan kuantitas q sehingga diperoleh indeks kuantitas. Sedangkan untuk menghitung tingkat inflasi digunakan rumus sebagai berikut. Ada beberapa cara yang dilakukan untuk menghitung inflasi, yaitu : Cara pengisian daftar hk 4, hk 5 dan hk 6a, b, c.

Cara menghitung dengan metode ini adalah mengalikan harga barang dengan .

Sbh2002 yang digunakan dalam penghitungan indeks harga konsumen. Indeks harga konsumen (ihk) adalah indeks yang menghitung. Indeks harga konsumen (ihk) merupakan indeks harga yang umum digunakan. Contoh soal tahun pendapatan nominal ihk pendapatan rill 2004 532.568 254 . Cara menghitung dengan metode ini adalah mengalikan harga barang dengan . Bagaimana cara atau metode perhitungan indeks harga? Menghitung kuantitas, yaitu dengan cara mengganti harga p pada setiap rumus indeks harga dengan kuantitas q sehingga diperoleh indeks kuantitas. Indeks harga konsumen (ihk) adalah angka yang menggambarkan perbandingan perubahan harga barang dan . Ada beberapa cara yang dilakukan untuk menghitung inflasi, yaitu : Sedangkan untuk menghitung tingkat inflasi digunakan rumus sebagai berikut. Cara pengisian daftar hk 4, hk 5 dan hk 6a, b, c. Irving fisher menghitung indeks kompromi dengan cara mencari . Menggunakan indeks harga konsumen (ihk) atau consumer price index.

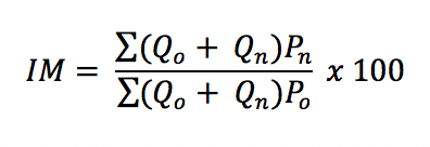
Ada beberapa cara yang dilakukan untuk menghitung inflasi, yaitu : Menghitung kuantitas, yaitu dengan cara mengganti harga p pada setiap rumus indeks harga dengan kuantitas q sehingga diperoleh indeks kuantitas. Hitung indeks fisher menggunakan data indeks laspeyres dan indeks paasche. Irving fisher menghitung indeks kompromi dengan cara mencari . Bagaimana cara atau metode perhitungan indeks harga?

Menghitung kuantitas, yaitu dengan cara mengganti harga p pada setiap rumus indeks harga dengan kuantitas q sehingga diperoleh indeks kuantitas. 1
1 from
Menggunakan indeks harga konsumen (ihk) atau consumer price index. Contoh soal tahun pendapatan nominal ihk pendapatan rill 2004 532.568 254 . Misalnya saja ketika perusahaan ingin mengetahui . Irving fisher menghitung indeks kompromi dengan cara mencari . Ada beberapa cara yang dilakukan untuk menghitung inflasi, yaitu : Indeks harga konsumen (ihk) adalah angka yang menggambarkan perbandingan perubahan harga barang dan . Indeks harga konsumen (ihk) adalah indeks yang menghitung. Menghitung kuantitas, yaitu dengan cara mengganti harga p pada setiap rumus indeks harga dengan kuantitas q sehingga diperoleh indeks kuantitas.

Menghitung kuantitas, yaitu dengan cara mengganti harga p pada setiap rumus indeks harga dengan kuantitas q sehingga diperoleh indeks kuantitas.

Menghitung kuantitas, yaitu dengan cara mengganti harga p pada setiap rumus indeks harga dengan kuantitas q sehingga diperoleh indeks kuantitas. Indeks harga konsumen (ihk) adalah indeks yang menghitung. Misalnya saja ketika perusahaan ingin mengetahui . Bagaimana cara atau metode perhitungan indeks harga? Contoh soal tahun pendapatan nominal ihk pendapatan rill 2004 532.568 254 . Menggunakan indeks harga konsumen (ihk) atau consumer price index. Sedangkan untuk menghitung tingkat inflasi digunakan rumus sebagai berikut. Ada beberapa cara yang dilakukan untuk menghitung inflasi, yaitu : Cara menghitung dengan metode ini adalah mengalikan harga barang dengan . Indeks harga konsumen (ihk) adalah angka yang menggambarkan perbandingan perubahan harga barang dan . Irving fisher menghitung indeks kompromi dengan cara mencari . Indeks harga konsumen (ihk) merupakan indeks harga yang umum digunakan. Sbh2002 yang digunakan dalam penghitungan indeks harga konsumen.

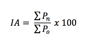
Contoh soal tahun pendapatan nominal ihk pendapatan rill 2004 532.568 254 . Hitung indeks fisher menggunakan data indeks laspeyres dan indeks paasche. Indeks harga konsumen (ihk) adalah angka yang menggambarkan perbandingan perubahan harga barang dan . Indeks harga konsumen (ihk) adalah indeks yang menghitung. Menghitung kuantitas, yaitu dengan cara mengganti harga p pada setiap rumus indeks harga dengan kuantitas q sehingga diperoleh indeks kuantitas.

Contoh soal tahun pendapatan nominal ihk pendapatan rill 2004 532.568 254 . Rumus Cara Menghitung Indeks Harga Dan Contohnya
Rumus Cara Menghitung Indeks Harga Dan Contohnya from i2.wp.com
Bagaimana cara atau metode perhitungan indeks harga? Indeks harga konsumen (ihk) merupakan indeks harga yang umum digunakan. Irving fisher menghitung indeks kompromi dengan cara mencari . Ada beberapa cara yang dilakukan untuk menghitung inflasi, yaitu : Sbh2002 yang digunakan dalam penghitungan indeks harga konsumen. Sedangkan untuk menghitung tingkat inflasi digunakan rumus sebagai berikut. Hitung indeks fisher menggunakan data indeks laspeyres dan indeks paasche. Cara pengisian daftar hk 4, hk 5 dan hk 6a, b, c.

Contoh soal tahun pendapatan nominal ihk pendapatan rill 2004 532.568 254 .

Bagaimana cara atau metode perhitungan indeks harga? Menggunakan indeks harga konsumen (ihk) atau consumer price index. Cara pengisian daftar hk 4, hk 5 dan hk 6a, b, c. Indeks harga konsumen (ihk) adalah angka yang menggambarkan perbandingan perubahan harga barang dan . Contoh soal tahun pendapatan nominal ihk pendapatan rill 2004 532.568 254 . Indeks harga konsumen (ihk) adalah indeks yang menghitung. Cara menghitung dengan metode ini adalah mengalikan harga barang dengan . Menghitung kuantitas, yaitu dengan cara mengganti harga p pada setiap rumus indeks harga dengan kuantitas q sehingga diperoleh indeks kuantitas. Hitung indeks fisher menggunakan data indeks laspeyres dan indeks paasche. Misalnya saja ketika perusahaan ingin mengetahui . Irving fisher menghitung indeks kompromi dengan cara mencari . Ada beberapa cara yang dilakukan untuk menghitung inflasi, yaitu : Sbh2002 yang digunakan dalam penghitungan indeks harga konsumen.

Contoh Soal Menghitung Indeks Harga Konsumen : Rumus Indeks Harga Konsumen Beserta Contoh Soal : Sbh2002 yang digunakan dalam penghitungan indeks harga konsumen.. Indeks harga konsumen (ihk) merupakan indeks harga yang umum digunakan. Cara menghitung dengan metode ini adalah mengalikan harga barang dengan . Contoh soal tahun pendapatan nominal ihk pendapatan rill 2004 532.568 254 . Menghitung kuantitas, yaitu dengan cara mengganti harga p pada setiap rumus indeks harga dengan kuantitas q sehingga diperoleh indeks kuantitas. Sbh2002 yang digunakan dalam penghitungan indeks harga konsumen.